Become a MacRumors Supporter for $50/year with no ads, ability to filter front page stories, and private forums.
I don't think you're a student then with an iPad...

Using a note taking package with cropped screenshots/equations from a math textbook is awesome. It's hard to write out equations on any device (yes, even the Surface Pro 3 because I've tried that -- it doesn't work how I want it to. Hard to write equations and hard to draw things anyhow). It's a lot easier to have a nice formatted equation from a book and then maybe draw in the occasional graph or sketch from an iPad stylus if needed.

That's the case for math anyway. Plus there's no need to take that damned graphing calculator anywhere since I can use the official TI 84 app... God is that powerful and simply amazing to use. I can plug in data points and get a colored, fully fledged graph from the app... Looks like something straight from Mathematica.

Again, math/engineering example. I imagine for English it's just as good with a keyboard case. I've exclusively used the onscreen keyboard so far but I am 90% sure that Logitech case is :cool:

Thanks for telling me, a 16 year old, that I'm not a student:D

I love assumptions!

Maybe you misread his and my post as well, he said the iPad is useless for everything else and I felt that he was wrong.
 
Thanks for telling me, a 16 year old, that I'm not a student:D

I love assumptions!

Maybe you misread his and my post as well, he said the iPad is useless for everything else and I felt that he was wrong.

Oh God, I read it wrong. You're right. Sorry.

I'm 15 years old and I'm attending three separate schools in Silicon Valley (I live next to Apple) and unfortunately I'm too used to old fashioned people surrounding me (namely, my mother. She's very old fashioned regardless of the fact that she simply cannot do what she does without her iPad, Macbook and iPhone).

My apologies.
 
Oh God, I read it wrong. You're right. Sorry.

I'm 15 years old and I'm attending three separate schools in Silicon Valley (I live next to Apple) and unfortunately I'm too used to old fashioned people surrounding me (namely, my mother. She's very old fashioned regardless of the fact that she simply cannot do what she does without her iPad, Macbook and iPhone).

My apologies.

It's OK, my parents also don't see the point in tech and it annoys me since tech helps me quite a lot in school.
Also I've dropped Maths so I'm happy about that:D
 
See all of this is reasonable but here is one thing though.

onenote.

The Microsoft productivity interfaces always feels like trying to eat soup knives for hands.

This is a perception deal though.

A few weeks ago one of my .net developers was showing off Visual Studio to some of my Ruby guys and the first response I heard from the ruby guys was "so is there an area to type in code?"

The whole ribbon UI for many people (I've seen entire rooms filled with people who hate it in office, in Seattle at the Microsoft campus who hate it) is too busy.

The SP3 is really interesting hardware but I wouldn't buy one for OneNote alone. If your sole reason for a device is note taking anything with Evernote would work more consistently across more devices.

There's tons of keyboards for any tablet. The sp3 runs like an ultra book with a removable keyboard. That isn't a bad thing but why on earth get something that you can't use flexibly on your lap instead of ultrabook.

Good points, but it's all about the right tool for the specific job. Everyone's needs are a bit different. For me, I have a laptop I can't live without. I also need to take a lot of notes. Nothing complicated, just basically electronic pen and paper that can sync with my laptop. So a small laptop has too much overlap to my primary computer and is not "tablet" enough for simple notetaking. The iPad is great, but without a true stylus doesn't do the trick either. That's where the SP3 shines. It's tablet enough for simple note taking, has instant on, click the pen button to launch a new note, great standby battery all in a slim tablet like profile. Give that the "cover" you'd normally need to buy also includes includes a keyboard is genius and the built-in kickstand is also one less thing to buy and truly functionality.

I also use the Metro version of OneNote quite a bit which is a very simplistic UI for notetaking. No Ribbon bar, just a big page to write on. If I need to do additional organization I can hop into the desktop version.

I like evernote, and use it quite a bit for miscellaneous notes, but it doesn't quite fit this requirement. The inking feels like it's is more of an add-on and isn't as seamless as OneNote.
 
I've read this thread before and thought I'd chime in.

I went back and forth on whether I regretted my iPad purchase, but lately my usage has skyrocketed.

I'm in my last year of undergrad. I have a 15" rMBP and while that IS portable and I have brought it to school, it can be cumbersome to use if you don't have a table. Last semester I brought my iPad and a logitech ultra thin keyboard cover to school to take notes in OneNote.

This term a professor posted 300 pages of PDFs that we need to read and bring to class. I could print them (NO!) I could buy a Pro-Copy bundle for $50 (Meh!) or I could load them up in Dropbox and annotate them with PDF Expert. It's great! My iPad weights much less then lugging around those PDFs. Also, several of the books I need this term are available as eBooks. Now I won't use e-Texbooks, but these are regular books. Instead of paying $25 for a physical book I bought a $10 kindle version that I can search and highlight.

I can take notes with OneNote and MS Word, edit PDFs, read books, all in one portable device.

I'm happy. :)
 
You would definitely be sacrificing the drawing ability. It's much better on a SP3 than an iPad.

I would say the iPad is more 'fun' than the SP3. It's not going to be better for school because it can't take a stylus as well and it can't run specialist programs, as people here have already said.

But if you only need a tablet for fun (and maybe some PDF annotation / use as an extra screen when in the library) then sure, get the iPad. The app store on a SP3 must be pretty sucky if I recall correctly.

So - it's going to be less productive for school than a SP3. But it will be more fun. You have to decide how much you use your MacBook for productivity and whether you could give up the Surface.

This term a professor posted 300 pages of PDFs that we need to read and bring to class. I could print them (NO!) I could buy a Pro-Copy bundle for $50 (Meh!) or I could load them up in Dropbox and annotate them with PDF Expert.
Almost this. I would never do serious note taking or productive work without my MacBook, either brought to a lecture, used in the library or docked to a monitor in my room. BUT I would (and do) use it to compliment my set up in the latter 2 locations. If I'm prepping for a seminar I have to have open a web browser for research, PDFs of journal articles and the like, an instruction sheet document and a Pages document for my answers. That's a lot of switching back and forth, and it's a pain to read through a long PDF file on the Mac and even worse to try and annotate / highlight it. The iPad solves this for me as I can easily read through & annotate the PDFs, leaving just a Pages document open on my Mac for easy typing.

But... OP already has a portable tablet device. Which does more than an iPad productively speaking and less than an iPad entertainment speaking. At the start of this semester I had a huge internal debate about getting either a SP3 or a MBP. The MBP won - but note that I was considering these two devices as my main-driving, laptop-class devices. Not as a tablet, which I feel OP views the SP3 to be.
 
Last edited:
I'm a former student. I used my iPad for most things school related. It really all depends on the classes you are taking.

I used/use a Keyboard with my iPad everyday, so I don't get it when people use that as a reason. It's just bogus.. Note taking and sketching works just fine. I stopped lugging around the laptop and started using the iPad.

There are a few things that require a full size computer, and some that require Windows specifically (read bootcamp). If you don't need the specific apps. and/or windows, it's a great way to go.

My wife even works at the University and she says iPads are used everywhere, including in the admin. offices.

So once again, it just depends on what your needs are.
 
Last edited:
I only use it as a secondary display for the script of the classes while taking the notes either on my macbook or on actual paper. Drawing or editing pdfs on the iPad itself drives me up the wall, it really needs proper stylus support. I can't really study on it either. Too many other things I'd drift off doing on it instead of actual studying lol
 
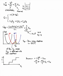
I just wanted to chime in and say that I drew these notes on an iPad Mini, with my finger. Taking notes is definitely not impossible.

Most people just try it a couple of times and forget that they've been taking notes with pen and paper for 10 years. I know we all want it to be the same, but it's not.
 

Attachments

  • 2E62C021-D836-4339-98F7-A97E4E6D6778.png
    2E62C021-D836-4339-98F7-A97E4E6D6778.png
    146 KB · Views: 102
  • CB977C0C-5B32-4155-B451-857A89B70340.png
    CB977C0C-5B32-4155-B451-857A89B70340.png
    203.8 KB · Views: 96
I would image the simple operating system, fast functionality and App Store alone would make the iPad far superior to any tablet on the market.

too simple operating system! the Surface with its pen and extra screen space is a much better school tool.

----------

I also use the Metro version of OneNote quite a bit which is a very simplistic UI for notetaking. No Ribbon bar, just a big page to write on. If I need to do additional organization I can hop into the desktop version.

It took me a while to appreciate the value of metro oneNote. But used in conjunction with the full app its simplity shines
 
too simple operating system! the Surface with its pen and extra screen space is a much better school tool.

Not just the precise pen, but things like multi-tasking are critical. Being able to plug in an external monitor to work on, an actual mouse (and keyboard), ability to connect to USB drives and printers...

There's a lot the iPad either can't do (or can't do well) for school. Better off with a SP3, or a laptop to go with the iPad at least.
 
I just wanted to chime in and say that I drew these notes on an iPad Mini, with my finger. Taking notes is definitely not impossible.

Not impossible ...for you. Personally--and for most--taking notes with a finger or crappy ipad stylus is not really an option. I am just thankful there are great pen options now! Maybe apple will join in at some point

----------

Plus there's no need to take that damned graphing calculator anywhere since I can use the official TI 84 app... God is that powerful and simply amazing to use. I can plug in data points and get a colored, fully fledged graph from the app... Looks like something straight from Mathematica.

I think you are taking about the ti nspire app. i think it is in many ways the most impressively designed app on the ipad
 
. I can't really study on it either. Too many other things I'd drift off doing on it instead of actual studying lol

That is a you issue not a tech issue. Some of us know how to focus and not let distractions interfere

----------

too simple operating system! the Surface with its pen and extra screen space is a much better school tool.

For you. But not everyone is a clone of you.

That is the problem with threads like this. It's really a personal issue. I had zero issue using an iPad at school and have zero using it at work. You can tell me all day and night that the iPad is crap for students or workers but I know from personal experience that for my studies and my work, that isn't true. I tried a Surface, I tried a Samsung, didn't see anything that made them better than the ipad for my needs.

Anyone can say the iPad didn't work for their personal needs and that's fine. But make a blanket statement that it's crap for everyone and I will call out your BS cause you don't know my needs so you can't address them or what works for them. Just like you don't know some random strangers needs to address those
 
I just wanted to chime in and say that I drew these notes on an iPad Mini, with my finger. Taking notes is definitely not impossible.

Most people just try it a couple of times and forget that they've been taking notes with pen and paper for 10 years. I know we all want it to be the same, but it's not.

Thank you for that. With a good stylus, or even a finger, you can take some decent notes with many good Apps that support a zoom box. Granted, it is a little awkward and slow at first, but with practice it is pretty nice. It would be great if Apple supported a digitizer, but it isn't deal-breaker. For me, most of my notes are text based so I use a good keyboard and if I do need to figure or diagram I either take a picture of the professors work or I draw it in Notability or Paper and copy it (or a cropped screenshot) into my notes.

It's not perfect. Apple's support for keyboards is lacking (no autocorrect) and some things can be clunky, but an iPad can be very productive and far easier to use than a full MacBook.

Last semester was a bit of an experiment for me. I got my iPad in June 2012 and started school that August. I did use it for school, but not heavily. Last term I tried to force its use in places where it was practice to get through the growing pains. I bought a good (instead of cheap) keyboard, bought some new apps, and grew accustomed to the iPad. I was always a "physical paper" person. I still won't use e-textbooks for a major class, but I also printed all my notes, all the power points, all the readings etc. Last term I started exporting my notes as a PDF, annotation the PP on device, and then combining all my readings and notes into one big PDF (80-100 pages) for an exam review. It was awkward for me at first, but soon it became so handy. I used it for Management, Marketing, and Account IS and it worked out great! I saved on overpriced printer ink, saved a tree, and found it very convenient. Instead of jumping between a notebook, a binder, and some online material, I just brought it all together.

A key (in my opinion) is don't force an iPad in areas where it isn't practical . People that I read denounce an iPad often compare it to a MacBook. That's bad. As much as I've used the iPad, I don't try to replace my Mac or even paper. I use my Mac for research, term papers, and some file organization, and excel projects, as well as Windows statistic programs. Many of those things I COULD do on an iPad, but it wouldn't be practical for me. I use a Mac when it will be more efficient and easier for me and I use my iPad in the same manner. If I forced myself to use one exclusively I wouldn't be nearly has happy (or even pass because an iPad simply can't do some things I need). Another example is in my accounting classes with a lot of hand written number problems. I could us an iPad for that, but I'm more comfortable, faster, and retain the info better to use physical pen and paper. I do try. To use the iPad more and more, but I still use what is best (for me) in the situation.

----------

That is a you issue not a tech issue. Some of us know how to focus and not let distractions interfere

That's a straightforward response :)

I had that issue initially, but it just takes some self discipline. It's the same on a laptop. Anything except a traditional textbook can offer distractions, but that doesn't mean you have to be distracted.
 
I don't think you're a student then with an iPad...


No, he's not you.

Studying, working, are personal. We don't think the same. Don't try to apply what works for you as some universal rule.

----------

A key (in my opinion) is don't force an iPad in areas where it isn't practical .

Practical is a personal opinion. A better 'key' might be to say that eveyone should use what works best for them personally and let others do the same. If I can type all my notes on an iPad and have no issue remembering them etc then that's what I should do. If you need go 'kill a tree' and write things long hand first, go for it.the important thing is learning and remembering not the methodology. Or at least that should be the important thing.

Anything except a traditional textbook can offer distractions, but that doesn't mean you have to be distracted.

Unless you are in a soundproof closet with no windows and you can shut off your imagination so you don't daydream, there is no such thing as distractions. Even with a traditional textbook. Heck ask any horny 14 year old boy. Even a photo of a worm in his bio book might get him thinking about other things
 
It's great for school use. Just get Etextbooks and enjoy not having to carry several pounds of books around.
 
Practical is a personal opinion. A better 'key' might be to say that eveyone should use what works best for them personally and let others do the same. If I can type all my notes on an iPad and have no issue remembering them etc then that's what I should do. If you need go 'kill a tree' and write things long hand first, go for it.the important thing is learning and remembering not the methodology. Or at least that should be the important thing.

I tried to emphasize that in the tone of my post, but I guess I didn't do a good job. I tired to mention "for me" because I meant that people shouldn't force an iPad into situations where it isn't practical for their workflow.

Like I mentioned, I could use my iPad for accounting problems, but it's not optimal for me so I use pen and paper in that situation.
 
No, he's not you.

Studying, working, are personal. We don't think the same. Don't try to apply what works for you as some universal rule.

----------



Practical is a personal opinion. A better 'key' might be to say that eveyone should use what works best for them personally and let others do the same. If I can type all my notes on an iPad and have no issue remembering them etc then that's what I should do. If you need go 'kill a tree' and write things long hand first, go for it.the important thing is learning and remembering not the methodology. Or at least that should be the important thing.



Unless you are in a soundproof closet with no windows and you can shut off your imagination so you don't daydream, there is no such thing as distractions. Even with a traditional textbook. Heck ask any horny 14 year old boy. Even a photo of a worm in his bio book might get him thinking about other things

I think the reason people even make these threads in the first place is because they want to know if they are practical compared with alternatives.

You can probably make a dining room set with a Swiss army knife, but that hardly makes it the best tool. Forums are littered with workarounds of limitations.

If someone wants to know if the iPad is a practical device for them (ie. they are seeking advice), they are generally not asking if tasks are somehow possible, but rather if they can be done easily.

Many tasks at school are impractical (though sometimes possible) on an iPad. An example would be referencing a web page or video while writing something. For others who just want a supplement to read PDFs, it's practical. Sometimes people like to know what the best device is for the job, and everyone's tasks are unique... hence so many of these threads.
 
I didn't enroll in college this year, but last year I did brainstorming in Bamboo Paper, my storyboard panels in Sketchbook Ink, and then an animatic in Animation Desk. It was perfectly fine doing the rough stuff on it. If I had to do that again, it would be even better with Procreate, and then being able to lay stuff out in Pixelmator or iDraw (which I did in Photoshop that last time).

There are some textbooks that are designed to work on everything, but others are not so good. My Adobe Flash book was terrible, but there was no way they would have made the very last chapters work in that regular format. It was still manageable though.

I just used a very small notebook and a pencil. It's not worth paying $800 just to write a one page note every week...

Screen Shot 2015-01-04 at 2.02.38 PM.png
 
I just used a very small notebook and a pencil. It's not worth paying $800 just to write a one page note every week...

To be clear, are you saying the iPad isn't or is productive for you? You mentioned the apps you used, but then mentioned how sloppy notes can look.

I still don't really like handwriting notes on the iPad, but the majority of my notes are "type friendly." And apps like Paper are perfect for the occasional sketch of a graph or diagram.
 
Now with my a research course I'm up to 50+ PDFs I'll be reading and reviewing this term. My iPad's going to get a workout!

Really the iPad is the best, and sometimes only, way to annotate these PDFs because some of them are scanned pages that are like one big picture, so I can't highlight text. Plus, the iPad's a great way to do these on the fly since you're not tethered to a notebook.

Not to mention paper savings.
 
About the Surface, all i can say is,

"look, its pretty slick man
hey, its got a kickstand!
i comes apart you see,
its got a usb..."
 
To be clear, are you saying the iPad isn't or is productive for you? You mentioned the apps you used, but then mentioned how sloppy notes can look.

I still don't really like handwriting notes on the iPad, but the majority of my notes are "type friendly." And apps like Paper are perfect for the occasional sketch of a graph or diagram.


That was written using a proper stylus and digitizer, and not on the iPad.

I tried doing the typing thing over 10 years ago. I just can't make that work in a live lecture environment. So I come home every time, and do the notes again whenever I have a free hour.

Lets me master the material better since I'm interacting with it and not just staring at the words. Sometimes I'll put a little more detail into it then too.

But everyone learns differently.

The iPad is productive for me. But I'm not going to use it for something I can't put a good amount of time into. I like being able to walk out of class, sit in a chair, and sketch stuff, and I do that when I'm in front of the iMacs too.

I'll gladly type an essay on it, I'm just not going to use it during a lecture. I'm either recording and listening, or I'm writing the main points in a notebook and listening.

But that's just me.
 
I just used a very small notebook and a pencil. It's not worth paying $800 just to write a one page note every week...

It is allowed to use the iPad for other things than taking notes once a week.

Also, I just wrote this in a matter of minutes with the zoom-box feature in Notability (not mentioning the fact that Airdrop took longer to spot my MacBook than it took writing that text :eek::eek::eek:). Barely requires any hand-movement, just write in the same spot and it'll automatically progress down the page.

Finally, I realized that "in fact" is, in fact, two words :p
 

Attachments

  • IMG_0099.PNG
    IMG_0099.PNG
    363.6 KB · Views: 109
I thought I'd update on my new process of incorporating my iPad into as much of my routine as possible.

So far it's really worked out well. For my strategic management and required philosophy courses I read and annotate PDFs with PDF Expert 5. For my business law and Audit class use my logitech ultrathin keyboard with a combination of Word and Write. I also use Noteshelf and a cheap stylus for taking handwritten notes and figures. I decided to spend a lot of time looking into good apps that worked for my workflow.

So far it's been good aside from some slow/lag frustration with my iPad 3. I was having some Dropbox sync issues with PDF Expert, but reinstalling the app fixed that so far.

I also decided to try typing with the on screen keyboard during my (slow-ish) philosophy class. I'm not as fast or as accurate as with my logitech, but I was pleasantly surprised by how well and fast I can type with the iOS keyboard.
 
Register on MacRumors! This sidebar will go away, and you'll see fewer ads.