What app are you using to take notes? I need to take notes in my college classes, especial math.
Is this calculus 3 or differential equation?
Notability. In my mind it's clearly the best.
You can see my huge list of note taking software I've tried here:
https://forums.macrumors.com/threads/app-for-strictly-taking-notes.1950982/#post-22474535
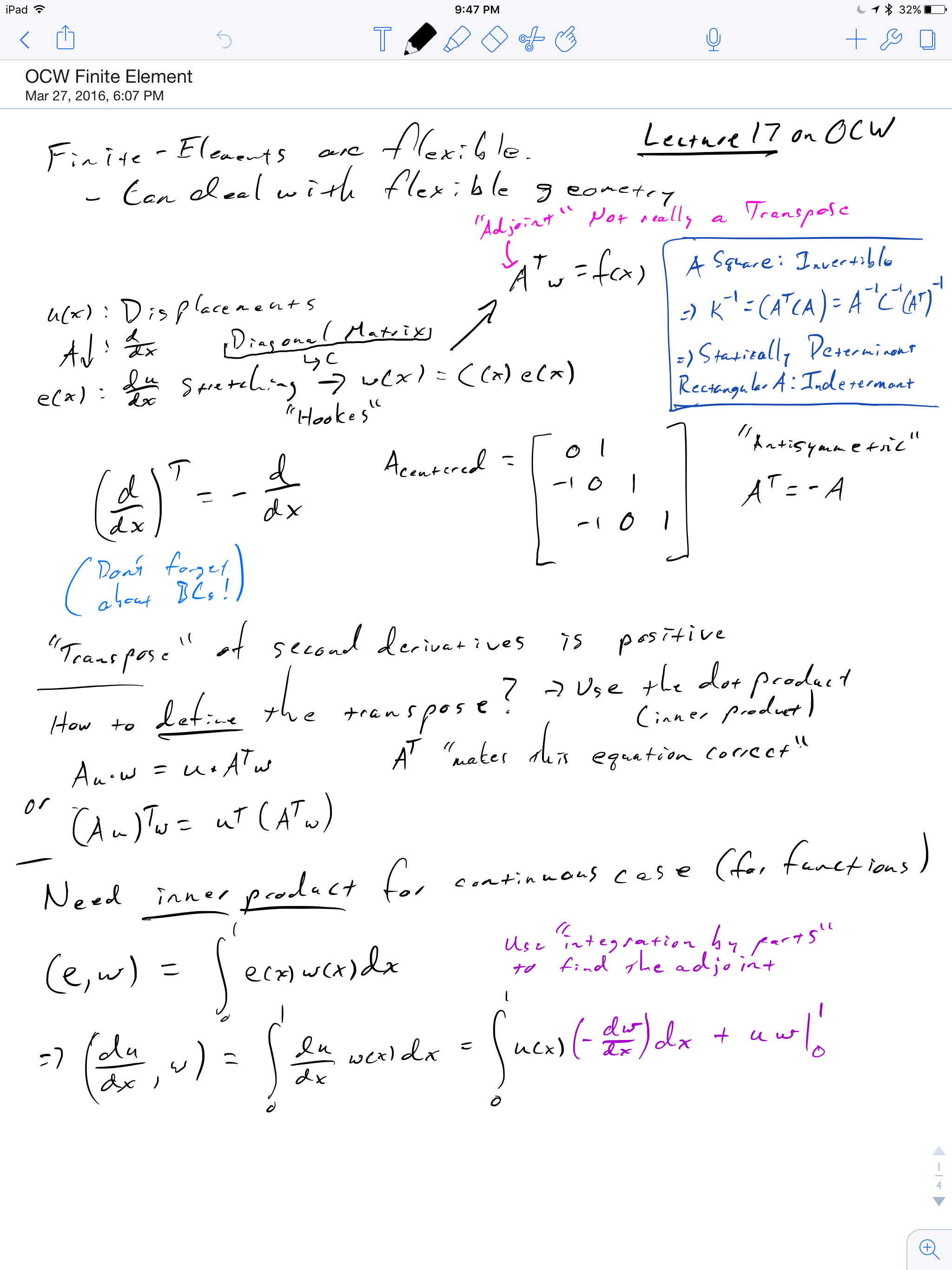
The class is a Computational Enginnering class. I'm in the actual, real (in person) class, but anyone can do the class for free here:
http://ocw.mit.edu/courses/mathematics/18-085-computational-science-and-engineering-i-fall-2008/
If you want to watch the videos associated with these notes I posted here... They are lectures 17 and 18.
It's taught by Gilbert Strang... who is an absolute legend in the field. The class is honestly too introductory for me... I really just took it so I could have him as a professor once

[doublepost=1459147553][/doublepost]
I've been gearing up to buy the baby iPad Pro for class, but your posts are making me think I need to re-evaluate my decision and look at the daddy iPad Pro again.
Edited for clarity: I have some hybrid classes coming up (classes that are partially online, partially on site). With the daddy iPad Pro, I could have the video open on one side, OneNote on the other.
To me, the size really matters for school. I REALLY like how much like a real piece of paper the big one is. I even do all of my homework on it.
Split screen multitasking is great on the big one too. Did you know that the palm rejection is so good with the Pencil that you can have your hand resting in one app in split screen mode while you actually write inside the other one! Completely freaked me out that it worked so perfectly!
It's absolutely the perfect tool for school.
BUT: some people value portability more than I do. There's a girl in one of my classes (actually, THIS same class I was just talking about) who takes all of her notes on an iPad mini with an old-school "dumb" stylus. I haven't been able to see what her notes look like yet... but I can't imagine they look very good. Who knows though!
[doublepost=1459148195][/doublepost]
You forgot about synchronisation and backup.
My notepad gets stolen, lost or destroyed, i lost all my stuff.
My iPad gets stolen, lost or destroyed, I just re-synchronise my new one or access my data on a different device.
Hah, this is huge for me too. Just before a big test I always used get nervous about my backpack with my notebooks in it getting stolen. Around here you always get to use your notes during the tests... so if yours were to go missing just before a test you would be really screwed! I don't worry so much now that they're backed up to Dropbox.
Speaking about that subject. Some of my classes let you use a computer during tests too (because so many people have electronic notes now). Some of them still stipulate that you don't use the Internet though. They've all been fine with me using my iPad during tests.
However: for the ones that don't let me use a computer/iPad during the test I have to print out all of my notes and stick them in a binder. It's a small bummer... but actually the printing from Notability looks AWESOME. It's like I wrote thee notes with the most awesome, perfectly black pen ever. I'll find some and take a picture tomorrow.
BTW: Noteability has a Mac OS X app too. They stay in sync via iCloud. Works perfectly. That's what I use when I need to print out my notes for a test.