Become a MacRumors Supporter for $50/year with no ads, ability to filter front page stories, and private forums.
resonate with Apple
The thing that struck me and I didn't even think about it, is all these years they've been promoting the Ax series CPU saying how fast it is, but by and large we haven't needed a faster processor. The iPads (and iPhones) were all running apps very well. It wasn't until this latest set of reviews where someone pointed that out, its an improvement that no one asked for, didn't need and doesn't help us. Its great to have a faster processor, don't get me wrong, but the OS and apps are not taking advantage of it.
 
This type of application feature should be obsolete. You should only have to install a custom equation soft keyboard to be able to do this in any text input in any app.

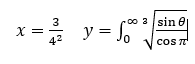
Elaborate? Because I dont think it is obsolete my job uses daily. If youre saying to write an equation out such as x=3/4^2 as such in text? Because the below looks much better, plus handles complexities involving integrals, roots:
Capture.PNG


If you have alternates to do the above on the iPad, please let me know.
[doublepost=1542369714][/doublepost]
But at least Apple included support for LaTeX in their apps. That could be a reason to change to iWorks (I use Keynote for that reason).

Not entirely sure what this is, but it sounds like a positive. Are you telling me iWorks can build equations like the examples above?
 
Elaborate? Because I dont think it is obsolete my job uses daily. If youre saying to write an equation out such as x=3/4^2 as such in text? Because the below looks much better, plus handles complexities involving integrals, roots:View attachment 804511

If you have alternates to do the above on the iPad, please let me know.
[doublepost=1542369714][/doublepost]

Not entirely sure what this is, but it sounds like a positive. Are you telling me iWorks can build equations like the examples above?

The original poster was saying there should be a keyboard that provides math equation functionality to all apps instead of it being locked to a plugin/addon for Excel.

LaTeX is complicated and you could probably find specific answers for your use case via internet searches. Safe to say though, LaTeX has been kind of a big deal for decades now.
 
Surely all this noise from the latest round of reviews will resonate with Apple? Amazing hardware but iOS and the lack of updated apps are severely hampering its capabilities.

This. Pretty much every review makes this point in some capacity.
 
Elaborate? Because I dont think it is obsolete my job uses daily. If youre saying to write an equation out such as x=3/4^2 as such in text? Because the below looks much better, plus handles complexities involving integrals, roots:View attachment 804511

If you have alternates to do the above on the iPad, please let me know.
[doublepost=1542369714][/doublepost]

Not entirely sure what this is, but it sounds like a positive. Are you telling me iWorks can build equations like the examples above?
Yes. LaTeX is the standard for writing equations in science, and Pages and Keynote supports it on iPad after a recent update. There are also other apps that can do LaTeX on iPad, and one could possible import that as an image to MS Word. Not a quite satisfactory solution, but a possibility.
 
  • Like
Reactions: sonicrobby
Something I would wonder: how would apple store pricing be for final cut for iPad. Would we see Mac prices? Subscription? What
I’d pay $300 for Final Cut on the iPad - $300 is a steal on the Mac and would jump at that on iOS.
 
Indeed - this round of iPad, every review is really highlighting this problem, I think Apple will finally have to pull their finger out this time, they are kind of cornered
 
Register on MacRumors! This sidebar will go away, and you'll see fewer ads.