I spent some time today trying to see how Turbo Boost works on the nMP.
Here's what I was expecting in terms of Turbo Boost clock increases (from Marco.org)...
- E5-1650 v2 3.5GHz base; Turbo Modes: (1/1/2/2/2/4)
- This means: 3.9GHz for single core, 3.7GHz for 2-4 cores, and 3.6GHz under full load.
Tools: I downloaded the Intel Power Gadget for OS X which reports actual CPU frequency.
It's worth noting that the IA Frequency reported in the GUI of Intel Power Gadget is not necessarily correct. I'm guessing it's some kind of average over the update interval. The correct CPU speed which is always a multiple of 100MHz is reported in the log file.
I also came across theSeb's terminal command for monitoring thermal limiting. (There was none during any of these tests).
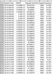
Idle: At idle (surfing the web for example) the frequency of my 6-core averages 3.5GHz. Looking at the log file, it fluctuates between 3.5 and 3.7GHz but will only see spikes higher than 3.5GHz for very short intervals (about 0.1 second). The first attachment shows the CPU frequency and processor power for a few seconds of idle.
Single Core: I used CinebenchR15 which allows you to set a custom number of threads... with a single thread, you can see the results in the first screen shot. The frequency would fluctuate erratically between 3.60 and 3.70GHz. I'm not sure why it fluctuates and I'm not sure why I'm not seeing higher turbo boost under this scenario. 😕 Are all the other OS X threads related to the OS and background tasks killing potential Turbo modes?. See the second attachment.
2-6 Cores: When I run a lightly threaded benchmark like CinebenchR15 CPU (with 2 or 4 threads) the outcome is the same as running a fully threaded benchmark that utilizes all cores (like Handbrake). The CPU frequency is pegged at 3.60GHz the entire time (see last attachment).
Aperture: When I'm flipping through images in Aperture, the CPU fluctuates between 3.5 and 3.7GHz just like it does during a single core benchmark.
Conclusions/Questions: I can't get any sustained frequency above 3.6GHz. 3.7GHz appears very occasionally for short intervals - not sustained like it should under 2-4 core load.
I'm open to suggestions on how to better test this and perhaps trigger sustained 3.9 or 3.7GHz operation.
If anyone else knows of any tools that work under OS X to monitor turbo states, that would be great. And if anyone has Windows running on their nMP, it would be interesting to see what you can determine (as there are a lot of CPU monitoring tools available under Windows).
Here's what I was expecting in terms of Turbo Boost clock increases (from Marco.org)...
- E5-1650 v2 3.5GHz base; Turbo Modes: (1/1/2/2/2/4)
- This means: 3.9GHz for single core, 3.7GHz for 2-4 cores, and 3.6GHz under full load.
Tools: I downloaded the Intel Power Gadget for OS X which reports actual CPU frequency.
It's worth noting that the IA Frequency reported in the GUI of Intel Power Gadget is not necessarily correct. I'm guessing it's some kind of average over the update interval. The correct CPU speed which is always a multiple of 100MHz is reported in the log file.
I also came across theSeb's terminal command for monitoring thermal limiting. (There was none during any of these tests).
Idle: At idle (surfing the web for example) the frequency of my 6-core averages 3.5GHz. Looking at the log file, it fluctuates between 3.5 and 3.7GHz but will only see spikes higher than 3.5GHz for very short intervals (about 0.1 second). The first attachment shows the CPU frequency and processor power for a few seconds of idle.
Single Core: I used CinebenchR15 which allows you to set a custom number of threads... with a single thread, you can see the results in the first screen shot. The frequency would fluctuate erratically between 3.60 and 3.70GHz. I'm not sure why it fluctuates and I'm not sure why I'm not seeing higher turbo boost under this scenario. 😕 Are all the other OS X threads related to the OS and background tasks killing potential Turbo modes?. See the second attachment.
2-6 Cores: When I run a lightly threaded benchmark like CinebenchR15 CPU (with 2 or 4 threads) the outcome is the same as running a fully threaded benchmark that utilizes all cores (like Handbrake). The CPU frequency is pegged at 3.60GHz the entire time (see last attachment).
Aperture: When I'm flipping through images in Aperture, the CPU fluctuates between 3.5 and 3.7GHz just like it does during a single core benchmark.
Conclusions/Questions: I can't get any sustained frequency above 3.6GHz. 3.7GHz appears very occasionally for short intervals - not sustained like it should under 2-4 core load.
I'm open to suggestions on how to better test this and perhaps trigger sustained 3.9 or 3.7GHz operation.
If anyone else knows of any tools that work under OS X to monitor turbo states, that would be great. And if anyone has Windows running on their nMP, it would be interesting to see what you can determine (as there are a lot of CPU monitoring tools available under Windows).
