Become a MacRumors Supporter for $50/year with no ads, ability to filter front page stories, and private forums.
I pulled the data from Geekbench browser and wrote a crappy HTML parser to extract the tables, but unfortunately, there is no RAM info on those pages. One could follow the links to the individual machines and so some more parsing but unfortunately my tea time is over :D
Awesome work thanks so much!! I’m sorry, if I am not mistaken you are thinking to switch to the HK for the ~3% single core and ~10 multicore performance leap that we see here?
 
Awesome work thanks so much!! I’m sorry, if I am not mistaken you are thinking to switch to the HK for the ~3% single core and ~10 multicore performance leap that we see here?

Well, 10% is quite a lot... could be worth it. But then again, Geekbench is not the most representative of benchmarks. I'll wait for my machine first and see how it performs.
 
  • Like
Reactions: Fingerprintt
Nice work!

Any theory on the variance. To my uninformed eye it looks like a lot of variance for a standard benchmark on identical (?) computers.
 
Awesome work thanks so much!! I’m sorry, if I am not mistaken you are thinking to switch to the HK for the ~3% single core and ~10 multicore performance leap that we see here?

Should they be undervolting them is that something they could change with firmware updates down road? Sorry I’m afraid just newbie rambling...Soo on the fence between the two its leading to bad sleep..🙄
 
Nice work @leman - I love the geom_violin() 😅 Did you pull the data off with a script or manually? If script can you modify it to also pull the RAM in the machine? I'm very curious if any of the spread is due to whatever RAM is in the machines!

Ok, added RAM. I should really get way from this, already burned an hour on this stupid thing 😂
 
Ok, added RAM. I should really get way from this, already burned an hour on this stupid thing 😂
Ha nice one! 😃 Alas no variation in RAM by chip yet - but at least is shows RAM is not a factor in the score spread for each chip!
 
Any theory on the variance. To my uninformed eye it looks like a lot of variance for a standard benchmark on identical (?) computers.

I don't really find it surprising. Different ambient temperature, different programs running at the same time, background processes... And the variance is not even that high. There are just some outliers that pull the distribution apart. The standard deviation on 9980HK multi-CPU scores is just 300, that's 4% relative to the mean average score of 7077. And 95% of all scores are within 90%-105% of the mean.
[automerge]1573988670[/automerge]
Ha nice one! 😃 Alas no variation in RAM by chip yet - but at least is shows RAM is not a factor in the score spread for each chip!

Unfortunately we can't even say that, as there are no 16GB variants of 9980HK or 32Gb variants of 9880H on geekbench yet. But I don't think that RAM will matter, Geekbench only uses very small problem sizes.
 
Unfortunately we can't even say that, as there are no 16GB variants of 9980HK or 32Gb variants of 9880H on geekbench yet. But I don't think that RAM will matter, Geekbench only uses very small problem sizes.

Yeah what I meant was that since in the available data RAM size does not vary within the range of what we see, RAM can't explain that variance - however I'm not ruling out RAM introducing its own variance just yet.
 
I don't think it's a bad choice.


Updated median:

samplesmedian single-coremedian multi-core
i7
69​
1059​
5589​
i9 2.3
72​
1067​
6497​
i9 2.4
32​
1125​
7235​

So, as you can see the i9 2.3 is now just ~5 % slower in single-core performance (compared to ~9 % slower in my previous post with less samples) and ~11 % slower in multi-core performance (again, compared to ~13 % in my previous post).

I think, the more samples we get the smaller the distance between the i9 2.3 and i9 2.4 becomes, which leads to a more realistic overall picture.
Thanx. I'll be fine with the 2.3 i think. Like i said, i'm coming from a Mid 2012 quadcore 2.6 GHz i7 and 16 GB RAM.
 
I second the idea that waiting for next year’s chips doesn’t make sense. Of course they will be faster and there slower than the chips that will supersede it. The reality is that any of the past two or three generations are pretty powerful and should be sufficient for a vast majority of professional applications.

At some point, you’re just chasing incremental improvements over the loss of great performance today. Plus, as it has been said so many times before on this forum, buy what you need now. If you need it. Playing the “next year’s will be better” is a never ending cycle of anticipation, purchase, regret.
Next year we'll almost certainly
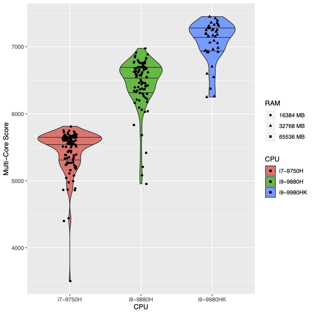
While sipping my morning tee I had some inspiration, so I have parsed all the currently available Geekbench 5 results for the 16" MBP — see the results below. Some explanation: the dots represent the individual score, the lines are the 25%, 50% (median) and 75% quantiles (that is, everything between the top and bottom line is where 50% of the relevant scores are), and the shapes represent the density distribution of the scores (so called violin plot, which are my favourites)

In addition, I ran a simple unequal variance T-test on the data, with the following result:

- assuming 5% significance threshold, there is no statistical difference between the single-core results for i9-9880H and i9-9980HK, albeit the i9-9980HK is a bit faster on average (95% confidence interval of score differences between -5.52462 and 82.82824 )

- assuming 5% significance threshold, there is a statistical difference between the multi-core results for i9-9880H and i9-9980HK (95% confidence interval of score differences between 497.2288 and 746.6590)

Bottomline: i9-9980HK is around 10% faster on average for multi-core (and 3% faster on average for single-core). This is quite unexpected given the CPU specs. The HK CPUs are rigorously binned and/or Apple might be undervolting them. At any rate,I am starting to regret that I ordered the i9-9880H, it might need to go back 😅

EDIT: added RAM, as requested by @The Mercurian . I also did a quick regression analysis on this, and RAM does not make any difference in a regression model. But at the same time, we can't really analyse the impact of RAM as we don't the enough data points: users who buy the high-end CPU also never seem to get 16GB RAM. Here is a table:

CPU RAM n
i7-9750H 16384 MB 109
i9-9880H 16384 MB 87
i9-9980HK 32768 MB 40
i9-9980HK 65536 MB 1



View attachment 877675View attachment 877676
awesome high quality post leman
 
I second the idea that waiting for next year’s chips doesn’t make sense. Of course they will be faster and then slower than the chips that will supersede it. The reality is that any of the past two or three generations are pretty powerful and should be sufficient for a vast majority of professional applications.

At some point, you’re just chasing incremental improvements over the loss of great performance today. Plus, as it has been said so many times before on this forum, buy what you need now. If you need it. Playing the “next year’s will be better” is a never ending cycle of anticipation, purchase, regret.

Somehow missed your post before. What worries me is that if I buy now a machine for the next several years, the next gen chips in 6 months might have higher core count - like the 2018 6 core machine I'm currenty using had an 8 core upgrade a few months later. This was annoying. In fact if I had waited and gotten the 8 core one I would not be in the market now.
 
Somehow missed your post before. What worries me is that if I buy now a machine for the next several years, the next gen chips in 6 months might have higher core count - like the 2018 6 core machine I'm currenty using had an 8 core upgrade a few months later. This was annoying. In fact if I had waited and gotten the 8 core one I would not be in the market now.

I get it, it’s a significant investment that you expect to have for a few years. I found it best to split the difference and pick up the higher spec model. That’s what I did last night. I got the i9 MBP 16 even though I don’t really need all power now. It’s still more cost effective than selling and upgrading sooner.

Remember that you can‘t entirely predict what will happen. Imagine you wait until next year and get what you thing is a significant leap only to find that the following year Apple moves to in-house chip that is 50% more powerful. You will again be filled with regret. I say get what you need when you need it. If what you have now serves you well and you‘re still happy with it, wait. If you are ready to upgrade or needs to upgrade, buy now. Never look back and just enjoy. That would be my advice.
[automerge]1574009895[/automerge]
Honeslty for the $100 upgrade price I'd just get the 8GB

I agree. I picked up the 4GB only because I didn’t want to wait weeks for a custom build to arrive. Then again, the SSD inside is plenty fast and modern software is optimized to leverage resources efficiently. I wonder how significant RAM really is today... maybe someone with more knowledge on the topic can chime in because that is probably one of the most common questions most of us ask when getting this machine.
 
  • Like
Reactions: The Mercurian
I get it, it’s a significant investment that you expect to have for a few years. I found it best to split the difference and pick up the higher spec model. That’s what I did last night. I got the i9 MBP 16 even though I don’t really need all power now. It’s still more cost effective than selling and upgrading sooner.

Remember that you can‘t entirely predict what will happen. Imagine you wait until next year and get what you thing is a significant leap only to find that the following year Apple moves to in-house chip that is 50% more powerful. You will again be filled with regret. I say get what you need when you need it. If what you have now serves you well and you‘re still happy with it, wait. If you are ready to upgrade or needs to upgrade, buy now. Never look back and just enjoy. That would be my advice.

Oh I'm close to pulling trigger on a high spec machine - but might wait for more compelte review to come out, or might even wait until the new year. My current machine is driving me a bit nuts thou. Hahaha I agree with you except for one thing - I've zero to no interest in an in house Apple chip - give me x86 all the way. But hopefully AMD will start doing to mobile chips what they are already doing for desktops and we get and AMD powered MBP sooner rather than later! 😊
 
Oh I'm close to pulling trigger on a high spec machine - but might wait for more compelte review to come out, or might even wait until the new year. My current machine is driving me a bit nuts thou. Hahaha I agree with you except for one thing - I've zero to no interest in an in house Apple chip - give me x86 all the way. But hopefully AMD will start doing to mobile chips what they are already doing for desktops and we get and AMD powered MBP sooner rather than later! 😊

I love my Ryzen gaming rig. I hope you’re right, but so far the mobile implementation of the ryzen chipset in the Surface line was not well received. I pulled the tricker right away. I mean, we’re talking about Apple here. I trust the new Pro will be fantastic. It’s not like they ever designed a bad keyboard or made a pro machine with insufficient thermal handing or released a desktop with a faulty stand or... oh, wait. :D

You know what, sometimes you just have to take a leap of faith. It’s only money!
 
  • Like
Reactions: The Mercurian
Honeslty for the $100 upgrade price I'd just get the 8GB

The thing is that, 100 here and 100 there quickly adds up.
And, the question is, can 4GB be the performance bottleneck and GPU itself? M5500 while is faster than anything MBP had so far, is entry level graphics card after all, that has performance similar to 1650maxq... The GPUs don't benefit much from additional memory. Am I wrong?
 
  • Like
Reactions: Fingerprintt
The thing is that, 100 here and 100 there quickly adds up.
And, the question is, can 4GB be the performance bottleneck and GPU itself? M5500 while is faster than anything MBP had so far, is entry level graphics card after all, that has performance similar to 1650maxq... The GPUs don't benefit much from additional memory. Am I wrong?

My take was: with 64GB RAM, even though I’m no video editor go for 8GB, just for resale value. But I was on the fence for that one as well
 
The thing is that, 100 here and 100 there quickly adds up.
And, the question is, can 4GB be the performance bottleneck and GPU itself? M5500 while is faster than anything MBP had so far, is entry level graphics card after all, that has performance similar to 1650maxq... The GPUs don't benefit much from additional memory. Am I wrong?
Some info here:

 
Well, I doubt anyone is going to be able to play demanding titles with m5500 on resolution higher that FHD (more demanding titles are going to be hard for this card to hand on FHD as well).
The thing is that, whether applications other than games going to benefit from extra memory, given the fact that GPU itself it pretty weak. (You've got to be fair. It might be fast if you compare it to other MBPs, but it's nothing special... even for a latptop).

I understand these are not gaming laptops and I have no problem with that. I am just curious what apps will benefit from 8GB, given the fact that the GPU itself is pretty weak.
 
My idea is that the vram helps with (4k) video editing and rendering right?
 
Just a quick follow-up. I was interested in how i9-9880H performance changed in comparison to 15 inch model. I expected some performance gain from improved thermal management but at least it's not worse as I initially thought. Scores are similar and improving with increasing sample size.

ModelSamplesSingle% change *Multi% change *
16″ 2.3 GHz1011087-3.55 %6583+0.34 %
16″ 2.3 GHz1501097-2.66 %6631+1.07 %
15'″ 2.3 GHz20991127065610

* Compared to 15″ model
 
Just a quick follow-up. I was interested in how i9-9880H performance changed in comparison to 15 inch model. I expected some performance gain from improved thermal management but at least it's not worse as I initially thought. Scores are similar and improving with increasing sample size.

ModelSamplesSingle% change *Multi% change *
16″ 2.3 GHz1011087-3.55 %6583+0.34 %
16″ 2.3 GHz1501097-2.66 %6631+1.07 %
15'″ 2.3 GHz20991127065610
* Compared to 15″ model
Sorry but don’t get it, it seems one of the model’s in the Table is the 16 2.4ghz?
 
Sorry but don’t get it, it seems one of the model’s in the Table is the 16 2.4ghz?

First two rows are for 2.3 GHz. The first row is calculated from data that was available yesterday, the second row includes new geekbench results that were added today. So what's different is the number of samples.
 
  • Like
Reactions: Fingerprintt
Interesting. So the geekbench scores are suggesting almost identical numbers for the 15" vs 16" i9 2.3.

I wonder what the difference is between 15" and 16" i7 2.6 - because the maxtech review suggested that test results, including a geekbench score, were significantly better in the 16" due to improved thermals.
 
Register on MacRumors! This sidebar will go away, and you'll see fewer ads.