Become a MacRumors Supporter for $50/year with no ads, ability to filter front page stories, and private forums.
Hi Guys,

I just wanted to check with you all whether the issue is present or not. Sure the screen looks on a warmer side to me (compared to my Iphone 7) but it looks warmer only if tilted.
Below some pics (taken with Iphone 7)
What do you think?

Thanks!
 

Attachments

  • Screen 1.jpg
    Screen 1.jpg
    287.7 KB · Views: 230
  • Screen 2.jpg
    Screen 2.jpg
    368 KB · Views: 158
  • Screen 3.jpg
    Screen 3.jpg
    311.4 KB · Views: 162
Got my new iPhone 12 Pro today, but still have this black screen issue

Production year : 2020
Production week : 49 (December)
Model introduced: 2020
Factory: F1 (China, Zhengzhou - Foxconn)
 
Got my new iPhone 12 Pro today, but still have this black screen issue

Production year : 2020
Production week : 49 (December)
Model introduced: 2020
Factory: F1 (China, Zhengzhou - Foxconn)
And is it still warmer than older iPhones?
 
And is it still warmer than older iPhones?
i can only compare an iPhone 6s to the 12pro, and the 12pro looks definitly warmer then die iphone 6s.
This is a photo taken with the ipjone 6s of the iphone 12 pro. dont know if it helps.
 

Attachments

  • IMG_7342.JPG
    IMG_7342.JPG
    320.9 KB · Views: 219
Last edited:
  • Like
Reactions: nature
i can only compare an iPhone 6s to the 12pro, and the 12pro looks definitly warmer then die iphone 6s.
This is a photo taken with the ipjone 6s of the iphone 12 pro. dont know if it helps.
the view is affected by the picture, and by the screen you use to view it.
how can this be a serious test?
maybe your display is white, but my laptop has a yellow display, or it's great but the pic is not balanced...
do not trust others posting a photo, trust your eyes...
 
I’m really disappointed by Apple after 4 years with my IPhone 7 that I replaced a screen at apple because I broke it a year ago and with the release of 12 mini I was happy to upgrade and then after booting and settings the device you just notice that the screen is worse than the 7. In HDR is 10x better than 7 but in normal videos and just browsing nothing is how it should be the greys are greenish and whites are yellowish. I returned mine as It’s possible they will never fix it vi software.
 
I agree that these colour comparisons cannot really be captured and appreciated with just a picture.
Looking at these two pictures below, with a white and a grey background, on my XR and 12, I would conclude the white is better on the 12.
In reality, in person:
- the XR has what I would describe as a perfect white. The 12 a slightly yellowish/warmer white
- the grey is just a grey on the XR, and this is where the 12 does even worse, as it has a strange yellowie-greenie tinge, that should not exist in grey.

If it was jut for the white, I’d be able to live with it maybe, thinking it’s just a different - warmer white. Especially by keeping TT off (as in the pics). And I could hope that one day they will fix it via software Update.

But it’s the grey that I dislike quite a bit, when compared to my XR. Perhaps without anything to compare it against, I would not notice it?

All in all, I am in two minds as to send this back and accept the replacement (which is likely to be the same or worse), or just hold on to this and hope for a fix via software. Or I could “learn to accept it”.

All of the above is without TT on. WIth TT it becomes embarrassingly yellow.
 

Attachments

  • 29C602E3-FB2E-4D26-8611-B2914700C1C5.jpeg
    29C602E3-FB2E-4D26-8611-B2914700C1C5.jpeg
    366.1 KB · Views: 188
  • CF9149C3-2E99-4121-ADE7-682D8F458FFF.jpeg
    CF9149C3-2E99-4121-ADE7-682D8F458FFF.jpeg
    408.3 KB · Views: 173
  • Like
Reactions: myllian
I’m really disappointed by Apple after 4 years with my IPhone 7 that I replaced a screen at apple because I broke it a year ago and with the release of 12 mini I was happy to upgrade and then after booting and settings the device you just notice that the screen is worse than the 7. In HDR is 10x better than 7 but in normal videos and just browsing nothing is how it should be the greys are greenish and whites are yellowish. I returned mine as It’s possible they will never fix it vi software.
I felt exactly the same way compared to my 7. Could instantly tell that the display was just not good enough.
The colours don’t pop and yellow tint issue aside, the 7’s display just seemed more vibrant. Was truly shocked as this is the latest iPhone from Apple being compared to a 5 year old device
 
I felt exactly the same way compared to my 7. Could instantly tell that the display was just not good enough.
The colours don’t pop and yellow tint issue aside, the 7’s display just seemed more vibrant. Was truly shocked as this is the latest iPhone from Apple being compared to a 5 year old device
Also I noticed that when watching movies on PrimeVideo/Netflix the 7 looks smoother there is like a difference in frame rate or something. And viewing Instagram it’s just so much better on the 7 the photos look more clear and the colors are much better. I don’t know what to do because I really want to upgrade the 7 it gets slow sometimes but I hate the design of the 11 and so on.
 
I agree that these colour comparisons cannot really be captured and appreciated with just a picture.
Looking at these two pictures below, with a white and a grey background, on my XR and 12, I would conclude the white is better on the 12.
In reality, in person:
- the XR has what I would describe as a perfect white. The 12 a slightly yellowish/warmer white
- the grey is just a grey on the XR, and this is where the 12 does even worse, as it has a strange yellowie-greenie tinge, that should not exist in grey.

If it was jut for the white, I’d be able to live with it maybe, thinking it’s just a different - warmer white. Especially by keeping TT off (as in the pics). And I could hope that one day they will fix it via software Update.

But it’s the grey that I dislike quite a bit, when compared to my XR. Perhaps without anything to compare it against, I would not notice it?

All in all, I am in two minds as to send this back and accept the replacement (which is likely to be the same or worse), or just hold on to this and hope for a fix via software. Or I could “learn to accept it”.

All of the above is without TT on. WIth TT it becomes embarrassingly yellow.
It's almost impossible to make a good comparison picture. Even in lightroom, playing with white balance etc. I never get it right, it never looks like what I'm seeing.
 
  • Like
Reactions: 418608 and Ron21
Got my new iPhone 12 Pro today, but still have this black screen issue

Production year : 2020
Production week : 49 (December)
Model introduced: 2020
Factory: F1 (China, Zhengzhou - Foxconn)
Okay, I watched this very official sounding Raised Blacks 'problem' video. Having spent a few years in an R&D environment in one of my past lives, I'd just like to say that (1) there's no scientific setup behind the analysis here, and (2) I'd say this is an invented 'problem', a discovered situation that has been dubbed a 'problem'.
 
  • Haha
Reactions: Alfieg
Okay, I watched this very official sounding Raised Blacks 'problem' video. Having spent a few years in an R&D environment in one of my past lives, I'd just like to say that (1) there's no scientific setup behind the analysis here, and (2) I'd say this is an invented 'problem', a discovered situation that has been dubbed a 'problem'.
I can tell you from experience that watching a YouTube video at night and having the borders flicker like a disco party is indeed a problem.
 
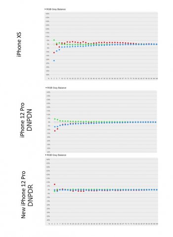
I got my iPhone 12 Pro 256gb-Graphite a few days ago, serial starting in DNPDN. Comparing with my XS, my iPad Pro, and the Macbook I have at home, there was definitely a green tint to the screen. There's a lot of speculation in this thread and other internet forums and I was going back and forth about exchanging the 12P, so I decided to collect some data.

I used Duet Display on the 'Pixel Perfect' setting with my i1Display Studio/DisplayCal via the 'Verification' tab, after setting the spectral correction to RGB OLED family (Sony PVM-2541, Samsung Galaxy S7, Lenovo LEN 4140). I set both phones as close to 250 nits as I could.

The attached images show the measurement results. The basic color temperature measurements are ~6500K for the XS and ~6400K for the iPhone 12P, but temperature doesn't tell the whole story. The RGB gray values show that my XS has some extra red content, but my 12P has higher green levels. My XS is lot a less uniform, which could be a result of the differential aging of OLED pixels (blue ages faster than green, which ages faster than red).

Interestingly enough, this matches with this Youtuber's measurements. Anandtech found their 12P had high red levels, so I think the story that Apple has relaxed tolerances for this initial batch, given worldwide supply constraints, is fairly credible.

I think I'll play the screen lottery once, and if the exchanged one isn't satisfactory look for an AppleCare repair in the spring.

Got my new 12 Pro in yesterday, ran a DisplayCal with the same settings as I did before. New serial starting in DNPDR.

I'm decently satisfied with this replacement. Side by side with my XS there's still some green tint, but also my XS apparently is red tinted. The original 12 Pro was egregious enough that I noticed it and searched for the problem, but when I woke up and looked at my phone it didn't immediately feel wrong. Will see if it gets better in a few months-hopefully those blues and greens soften a bit.
 

Attachments

  • Screenshot 2020-12-10 101746.jpg
    Screenshot 2020-12-10 101746.jpg
    59.5 KB · Views: 179
Got my new 12 Pro in yesterday, ran a DisplayCal with the same settings as I did before. New serial starting in DNPDR.

I'm decently satisfied with this replacement. Side by side with my XS there's still some green tint, but also my XS apparently is red tinted. The original 12 Pro was egregious enough that I noticed it and searched for the problem, but when I woke up and looked at my phone it didn't immediately feel wrong. Will see if it gets better in a few months-hopefully those blues and greens soften a bit.
When did you order the replacement ? Don’t know if I should reorder now or wait a bit longer.
 
Is it relevant to compare different types of screens technologies? like LCD and O-LED? I can see a lot of people here doing this. I think this is not the proper way (it's like comparing apples with oranges).
 
Is it relevant to compare different types of screens technologies? like LCD and O-LED? I can see a lot of people here doing this. I think this is not the proper way (it's like comparing apples with oranges).
It doesnt make sense to compare LCD and OLED since they are different technology...
 
  • Like
Reactions: Rangers94
How can you know what week if production are you going to order/get? I received my 4th 12 pro max today, exact same yellow tint than the others and is week 41. And we are in December! I would like to get a more current one.
I order online.
 
How can you know what week if production are you going to order/get? I received my 4th 12 pro max today, exact same yellow tint than the others and is week 41. And we are in December! I would like to get a more current one.
I order online.
When you do a express replacement, they will send you an email ahead of time giving the order/serial number of the one you are being sent.
 
When you do a express replacement, they will send you an email ahead of time giving the order/serial number of the one you are being sent.
And you can select the serial, or refuse until you get the one you want? Sorry, I ignore all this kind of things
 
While this is valid, white is still white. Both an LCD and an OLED should be in the same ballpark. My iPad shouldn't look like midday sun and my iPhone be 8pm sunset.
I agree with you that white should be white and not pink, red, yellow white etc. It's just that the comparison is not made between same types of displays. You can compare an iPhone 12 OLED screen with another OLED screen.
 
Register on MacRumors! This sidebar will go away, and you'll see fewer ads.