Here's the best explanation I've found. Comes from Anker forum user nigelhealy.
It depends on what Apple decided was the thermal throttling temperature during recharge. If they had chosen to set it higher then you'd get faster recharge time but the battery would age faster.
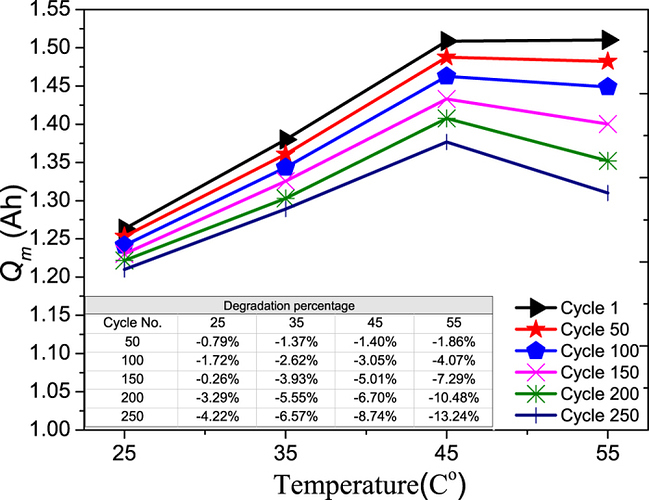
https://www.ncbi.nlm.nih.gov/pmc/articles/PMC4526891/
![]()
srep12967-f5.jpg700x539 163 KB
http://www.batteries2020.eu/publications/201509EPE15/Ageing.pdf
But I suspect that temperature effect is secondary to the human factors dimension. If:
- someone thought "oh i own this really fast recharging battery"
- therefore did "i now can use my ipad til its nearly flat because I know I can recharge it fast"
- then you'd be causing deep cycles which ages batteries even faster than the effect of temperature.
So ironically it might be you the owner causing the problem with how you behave due to having this technology rather than the technology itself.
So recommendations:
- keep liberally attached to power as much as is sensible to reduce depth of discharge. If you think "because i can I will' on using unplugged from power a long time you are via that thinking aging the battery faster.
- the heat by-product of recharging ages the battery, the heat by-product of using the tablet whilst recharging compounds it, so if you did happen to require to use the ipad unplugged from power for a long time, then consider not using the ipad whilst recharging.
- the more you use a battery the faster it ages, so just keep near power as much as practical.
- you have paid a lot of $ for the ipad so use it! Just try to use it's unplugged from power use to a sensible limit related to need, because if you keep it unplugged and use it a long time more than you need to then it will age faster.
- consider turning it off before doing a full recharge from empty to full, so the heat from the CPU is removed. It will likely recharge faster as well as age slower.
It depends on what Apple decided was the thermal throttling temperature during recharge. If they had chosen to set it higher then you'd get faster recharge time but the battery would age faster.
https://www.ncbi.nlm.nih.gov/pmc/articles/PMC4526891/

srep12967-f5.jpg700x539 163 KB
http://www.batteries2020.eu/publications/201509EPE15/Ageing.pdf
But I suspect that temperature effect is secondary to the human factors dimension. If:
- someone thought "oh i own this really fast recharging battery"
- therefore did "i now can use my ipad til its nearly flat because I know I can recharge it fast"
- then you'd be causing deep cycles which ages batteries even faster than the effect of temperature.
So ironically it might be you the owner causing the problem with how you behave due to having this technology rather than the technology itself.
So recommendations:
- keep liberally attached to power as much as is sensible to reduce depth of discharge. If you think "because i can I will' on using unplugged from power a long time you are via that thinking aging the battery faster.
- the heat by-product of recharging ages the battery, the heat by-product of using the tablet whilst recharging compounds it, so if you did happen to require to use the ipad unplugged from power for a long time, then consider not using the ipad whilst recharging.
- the more you use a battery the faster it ages, so just keep near power as much as practical.
- you have paid a lot of $ for the ipad so use it! Just try to use it's unplugged from power use to a sensible limit related to need, because if you keep it unplugged and use it a long time more than you need to then it will age faster.
- consider turning it off before doing a full recharge from empty to full, so the heat from the CPU is removed. It will likely recharge faster as well as age slower.