Become a MacRumors Supporter for $50/year with no ads, ability to filter front page stories, and private forums.
MST3K and RiffTrax are the reasons I still see those movies. It reminds of my days as a kid watching the Saturday afternoon "creature features" on the local UHF channel.
I can remember being taken to "Santa Claus Conquers the Martians" and "Horrors of Spider Island" when they were first run in the theater. It was hysterical to see them riffed.
 
as in list of worst movies of all time … 🤨

I liked Barbie. It is not one of the greatest movies of all times, but it was entertaining and was much better than I thought it would be. I was expecting an all fluff and marketing kids movie but it was more than that.
I will watch it when it is streamable...
 
Last edited:
  • Like
Reactions: Chuckeee
I will watch it when it is streamable on Disney +.
let’s just say - it’s not my cuppa tea.
don’t get me wrong - margot is right up there with nic kidman and kylie m as goddesses here in australia, but she is a much better actress than that.
furthermore, when you have the prat justin trudeau going along to see it half dressed like a sheila and being its biggest fan - that says it all for me …
ps. - think you'll need to view on amazon prime - unsure if dizzy has it
 
  • Like
Reactions: Huntn
let’s just say - it’s not my cuppa tea.
don’t get me wrong - margot is right up there with nic kidman and kylie m as goddesses here in australia, but she is a much better actress than that.
furthermore, when you have the prat justin trudeau going along to see it half dressed like a sheila and being its biggest fan - that says it all for me …
ps. - think you'll need to view on amazon prime - unsure if dizzy has it
For some reason I was thinking this had to be Disney... 🤔
 
I liked Barbie. It is not one of the greatest movies of all times, but it was entertaining and was much better than I thought it would be. I was expecting an all fluff and marketing kids movie but it was more than that.
I too want to see this one. Looks fun.
 
  • Like
Reactions: Huntn
I watched Grand Turismo a couple of days ago. I'm not a racing fan, but I enjoyed the movie.

Haven't seen that, but did watch Ford vs Ferrari some time ago. That was quite fun. Also the doco (can't remember its name, maybe it was on Youtube) about making the film, especially the night racing scenes.
 
  • Like
Reactions: Don Quixote
Rebel Moon (2023 Netflix)- Just finished this described as a Star Wars POC, knockoff. Ok, it started out reasonably, the first fight was decent, I love when the underdog, kicks the crap out of a room full of baddies, and I don’t mind tactical SLO-Mo. I recognized 7 Samurai, mistakenly became hopeful, but then it all went to hell as a muddled who-cares (?) farce. 🤔 Pray they don’t foot a Part 2.

IMG_3091.jpeg
 
Atomic Blonde (2017)
1704971303760.png

Lot of fun with double the action, yet still a serious slant on the events of the day. Was living in Germany when the Wall came down, still have a small piece of the Wall that I kept as a memento...

Back to Atomic Blonde, those that have watched will get this reference...;)
2018-03-11 01.12.55.jpg

Straight out the freezer :cool:

Q-6
 
Last edited:
Atomic Blonde (2017)
View attachment 2335256
Lot of fun with double the action, yet still a serious slant on the events of the day. Was living in Germany when the Wall came down, still have a small piece of the Wall that I kept as a memento...

Back to Atomic Blonde, those that have watched will get this reference...;)
View attachment 2335257
Straight out the freezer :cool:

Q-6
i think we've already been there with atomic blonde? …
 
  • Like
Reactions: Queen6 and Chuckeee
Just watched, again, Hidden Figures.

I was able to locate the book that Katherine Johnson uses for the Euler Method she mentions.
It was The Mathematics of Physics and Chemistry by Margenau and Murphy.

The first time I saw the film (in a theatre) when we got to that scene I jumped up and down and said "I know that book", because I had used it for a different purpose during my University career.

Specifically, she accesses Page 485, section 13.7, as below



Screenshot 2024-01-15 at 5.48.21 pm.png
 
  • Like
Reactions: Chuckeee
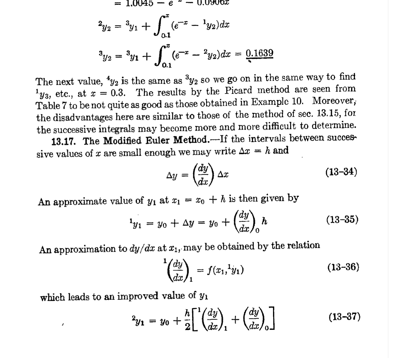
Just watched, again, Hidden Figures.

I was able to locate the book that Katherine Johnson uses for the Euler Method she mentions.
It was The Mathematics of Physics and Chemistry by Margenau and Murphy.

The first time I saw the film (in a theatre) when we got to that scene I jumped up and down and said "I know that book", because I had used it for a different purpose during my University career.

Specifically, she accesses Page 485, section 13.7, as below



View attachment 2336670


The Euler Method is part of my sig. ;)
 
Just watched, again, Hidden Figures.

I was able to locate the book that Katherine Johnson uses for the Euler Method she mentions.
It was The Mathematics of Physics and Chemistry by Margenau and Murphy.

The first time I saw the film (in a theatre) when we got to that scene I jumped up and down and said "I know that book", because I had used it for a different purpose during my University career.

Specifically, she accesses Page 485, section 13.7, as below



View attachment 2336670
i knew that! dream it all the time 😇
 
Register on MacRumors! This sidebar will go away, and you'll see fewer ads.